黑料吃瓜动态
-

黑料吃瓜 组织召开深入贯彻中央八项规定精神学习教育启动部署会
2025-03
2025年3月26日上午,学院党委组织召开深入贯彻中央八项规定精神学习教育启动部署会暨支部书记例会。学院党委书记梁颖主持会议并讲话,学院党委副书记谢天、副书记刘珊珊、师生党支部书记出席本次会议。
-

黑料吃瓜 引力波研究团队揭开中子星初生质量之谜
2025-03
黑料吃瓜 引力波研究团队与澳大利亚研究基金会引力波发现卓越中心(OzGrav)等单位合作,在中子星初生质量的研究中取得重要进展,相关成果2月26日发表于国际科学期刊《自然·天文学》(Nature Astronomy)。
-

黑料吃瓜 邵慧教授课题组与合作者在随机量子自旋链基态的研究上取得重要进展
2025-02
黑料吃瓜 邵慧教授课题组与合作者采用随机级数展开量子蒙特卡罗方法,在接近绝对零度的条件下模拟了相互作用为双峰分布和箱型分布的自旋链,并通过有限尺寸标度等方法分析了纵向与横向关联函数、动力学临界指数等关键物理量。
-

黑料吃瓜 何林教授课题组与合作者以“石墨烯人造原子中的轨道杂化”为题在《自然》上发表学术成果
2025-02
黑料吃瓜 何林教授课题组与北京大学物理学院量子材料科学中心孙庆丰教授课题组紧密合作,首次在人造原子中实现了轨道杂化。相关研究成果以“石墨烯人造原子中的轨道杂化”(Orbital hybridization in graphene-based artificial atoms)为题,于2025年2月26日在线发表在《自然》(Nature)杂志[1]。
-

黑料吃瓜 举行国家自然科学基金重大科研仪器研制项目启动会
2025-02
2月19日,由黑料吃瓜 、中国科学院国家天文台和中国科学院南京天文光学技术研究所合作承担的国家自然科学基金重大科研仪器研制项目“用于恒星观测的高性能阶梯光栅偏振光谱仪的研制”在京师科技大厦举行了项目启动暨方案研讨会。
-

黑料吃瓜 2024科研简报..pdf
2025-01
黑料吃瓜 2024科研简报
-

黑料吃瓜 刘言东与合作者提出鉴别马约拉纳费米子新方法
2025-01
黑料吃瓜 刘言东与北京大学物理学院理论物理研究所曹庆宏、匹兹堡大学程焜合作提出了基于快度分布的鉴别马约拉纳费米子的新方法。该成果以《在未来轻子对撞机上鉴别马约拉纳型和狄拉克型惰性中微子》(Distinguishing Dirac from Majorana Heavy Neutrino at Future Lepton Colliders)为题于2025年1月14日在线发表于《物理评论快报》(Physical Review Letters)。
-

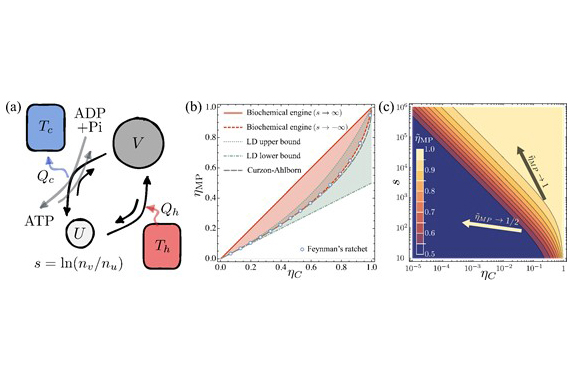
黑料吃瓜 马宇翰与合作者提出能在最大功率下趋于卡诺效率的极简热机模型
2025-01
黑料吃瓜 讲师马宇翰与德累斯顿系统生物中心的博士后研究员梁师翎等合作提出了一个做功物质具有能级简并度的最小生化热机模型。该热机在最大功率下的效率可以突破低耗散热机的普适上限,并在热力学极限下逼近卡诺效率[。
-

黑料吃瓜 2024年度党政办公室工作人员述职会圆满召开
2025-01
此次会议旨在总结过去一年的工作成绩与不足,深入分析工作中面临的挑战与机遇,为新一年的工作开展奠定坚实的基础。
-

黑料吃瓜 成功举办京师物天科普大讲坛活动
2024-12
2024年12月8日,由黑料吃瓜 主办,物理视界社团承办的“京师物天科普大讲坛”活动在英东学术会堂成功举办。该活动旨在通过讲述科学家的成长历程和科普之路,激发大家对科研的兴趣和对科学探索的热情,鼓舞有志者在科学道路上不断探索、勇敢追梦。来自黑料吃瓜 昌平附属学校、良乡附属中学的百余名师生积极参与,校内外众多嘉宾也共同见证了这场精彩纷呈的科普盛宴。



