黑料吃瓜动态
黑料吃瓜
邵慧教授课题组与合作者在随机量子自旋链基态的研究上取得重要进展
海森堡自旋链是凝聚态物理中研究量子磁性行为的经典模型。当链中的自旋耦合随机混合铁磁和反铁磁相互作用时,系统会展现出新的物理现象。此前的研究者们提出了强无序重整化[1]和自旋波近似[2]等理论研究方法。然而,由于这些方法的局限性,是否能够真实反映系统的基态性质,尤其是确定系统是否长程有序,以及动力学临界指数,依然是悬而未决的问题。数值方法如密度矩阵重整化[2]虽然在一定程度上能提供有效的结果,但在处理无序系统时容易遇到收敛性问题。因此,如何克服这些问题并得到更准确的基态描述,是当前研究的一个重要方向。
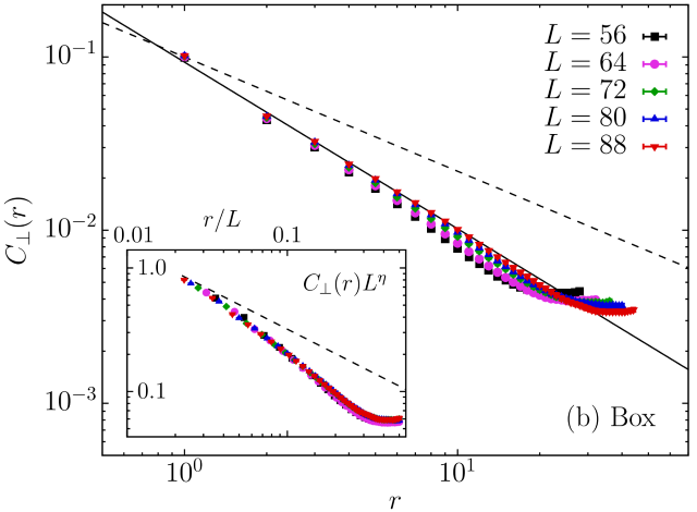
近日,黑料吃瓜 邵慧教授课题组和波士顿大学物理学系Anders W. Sandvik教授组成的研究团队在该问题的研究上取得重要进展。团队采用随机级数展开量子蒙特卡罗方法,在接近绝对零度的条件下模拟了相互作用为双峰分布和箱型分布的自旋链,并通过有限尺寸标度等方法分析了纵向与横向关联函数、动力学临界指数等关键物理量。研究发现,系统的横向相关函数呈现出非常特殊的双重标度行为:短程关联遵循幂律关系,而长程关联函数则表现出奇异的标度行为。这表明系统的基态可能是一种具有非常特殊临界行为的量子状态。此外,通过计算有限尺寸能隙的上界,研究还发现系统的动力学临界指数在不同耦合分布下有所不同,表明系统的标度行为存在明显的非普适性,即不同耦合分布下可能存在不同的不动点。最后,尽管自旋波理论和本研究的数值结果在某些标度行为上有相似之处,但特殊的横向相关函数衰减形式和动力学临界指数的显著差异均表明,系统的基态不符合传统有序相的行为,而关联函数横模与纵模的不一致性可能指向一种特殊的向列相。


左图:横向关联特殊的双重标度行为。右图:能隙的标度行为显示两种分布具有不同的动力学临界指数。
本研究揭示了无序量子系统基态性质的复杂性和非普适性,为后续研究提供了新的思路,对理解无序量子系统具有重要的理论意义。该工作以 “Ground State of the
Heisenberg Spin Chain with Random Ferromagnetic and Antiferromagnetic Couplings” 为题,于2025年2月24日在线发表在《物理评论快报》(Physical Review Letters)上。邵慧教授课题组博士生李思贝为第一作者,邵慧教授和波士顿大学物理系教授 Anders W. Sandvik为共同通讯作者。研究得到了国家自然科学基金、国家重点研发计划以及中央高校基本科研业务费的资助。
论文链接:
//journals.aps.org/prl/abstract/10.1103/PhysRevLett.134.086501
参考文献:
[1] E. Westerberg, A. Furusaki, M. Sigrist, and P. A. Lee, Random quantum spin chains: A real-space renormalization group study, Phys. Rev. Lett. 75, 4302 (1995).
[2] M. Fava, J. L. Jacobsen, and A. Nahum, Heisenberg spin chain with random-sign coupling, Proc. Natl. Acad. Sci. U.S.A. 121, 2401292121 (2024).



